이번에는 자연과학 및 공학 분야에서 중요하게 다뤄지는 오일러 상수 (Euler number 혹은 자연 상수)와 지수함수 (exponential function)에 대해 알아봅시다. 크기나 숫자 등이 폭발적으로 증가하는 현상을 두고 지수함수적으로 증가한다는 말을 많이들 쓰십니다. 지수함수는 증가율이 함수 자체에 비례하는 상황에 가장 걸맞는 수학적 개념이라고 볼 수 있죠. 지수함수 뿐만 아니라 그 역함수인 로그함수 (logarithm)와, 지수함수와 삼각함수간의 관계에 대해서도 짚어보겠습니다.
지수함수의 미분이 가진 특별한 성질과 결부지어서 바라보게 될텐데요. 함수의 기울기라는 의미를 가진 미분이 낮설게 느껴지거나, 미분 및 미분방정식에 대해 더 자세한 내용을 알고 싶으신 분들은 시작하기에 앞서서 다음 포스팅을 참고하면 큰 도움이 되리라 생각합니다.
수학 상식 : 미분과 적분 이해하기
이번 포스팅에서는 고등학교 수학의 종착역이자 고급 수학의 출발점이라고 할 수 있는 미분과 적분에 대해 알아보도록 합시다. 미분과 적분의 기본 개념뿐만 아니라, 미분방정식이나 적분변환
swstar.tistory.com
지수함수와 오일러 상수
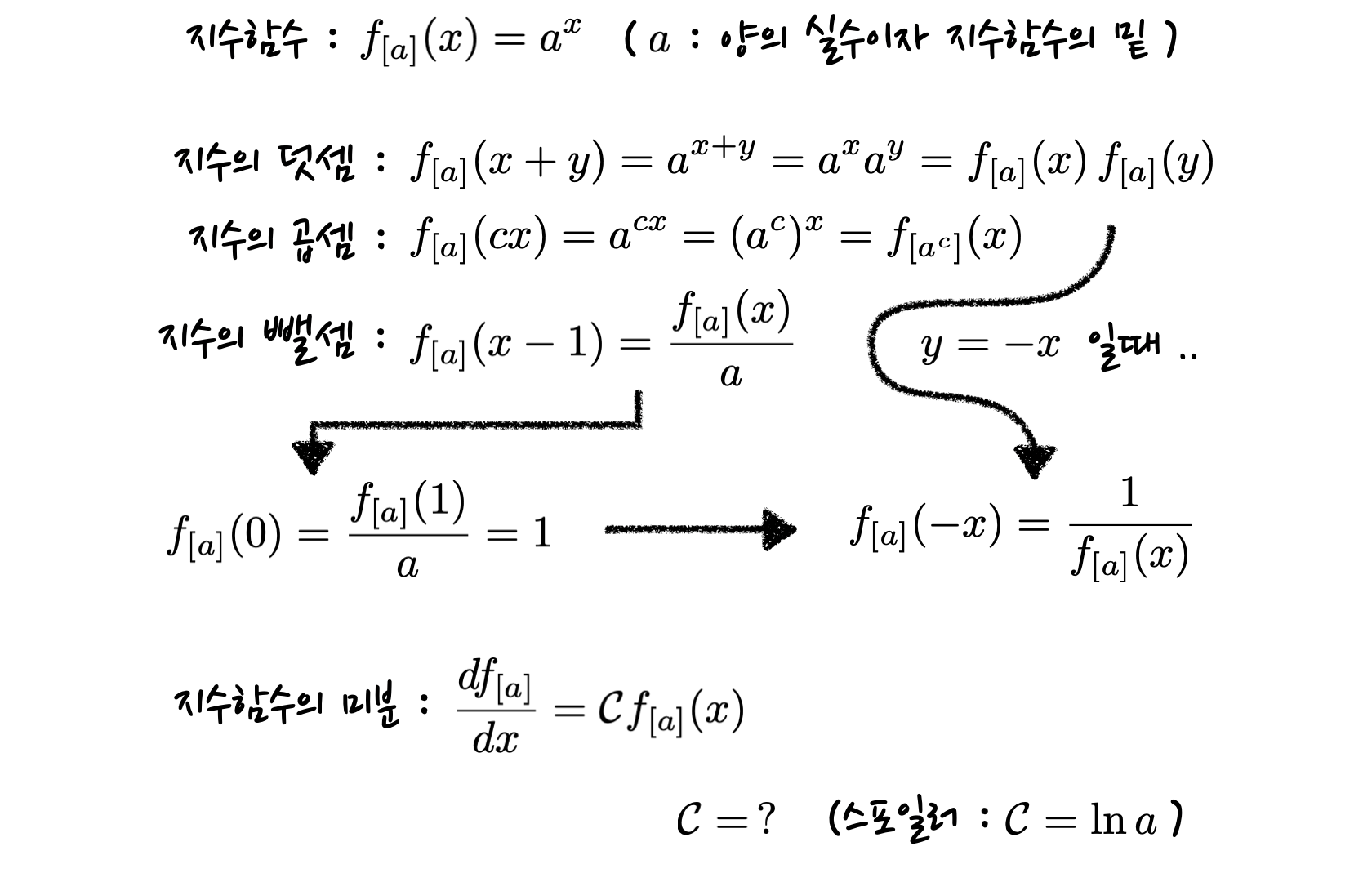
지수함수는 간단히 말하자면, 어떤 양수 (0보다 큰 실수)의 거듭제곱을 일반화한 함수입니다. 다시말해서 거듭제곱의 횟수는 자연수이지만, 지수함수는 일반적으로 복소수 (실수와 허수)를 정의역으로 가집니다. 여기서 거듭제곱의 대상이 되는 양수를 밑 (base)이라고 부르고, 정의역으로부터 인자로 들어가는 숫자를 지수 (exponent)라고 부릅니다.
지수함수의 또 다른 중요한 특징 중의 하나는 지수함수의 미분이 그 자신에 비례한다는 것인데요. 이말인즉슨, 밑이 1보다 클때, 함수의 값이 커질수록 증가율 또는 기울기 역시 증가한다는 것입니다. 이러한 특징 때문에 폭발적인 증가세가 나올 수 있는거죠. 밑이 1보다 작은 경우는 점점 감소하는 형태의 지수함수가 되는데, 이런 양상을 두고 지수 붕괴 (exponential decay)라고 부릅니다.

지수함수의 미분과 관련된 특징 이외에도, 눈여겨 볼 것들이 몇가지 있습니다. 두 개의 지수를 더하거나 곱해서 지수함수를 구했을 때, 이들이 어떻게 달라지는지에 대한 것인데요. 거듭제곱의 원리에 입각해서 쉽게 이해할 수 있는데, 다음과 같은 예시들을 생각해 볼 수 있겠습니다.
- 양수 a의 제곱과 세제곱을 구하고 이를 곱하면, a의 5제곱이 됩니다.
- 양수 a의 제곱을 구하고 이를 5제곱 하면, a의 10제곱이 됩니다.
- 양수 a의 N 제곱을 a로 나누면 N-1 제곱이 되고, 이를 N이 1인 경우에 대해 적용하면 a의 0제곱은 1입니다.
지수함수와 그 미분 사이의 비례상수가 무엇인지에 대한 스포일러가 있는 것을 봤을텐데, 이는 자연로그라는 함수로부터 구해지는 값입니다. 이 함수를 정의하기 전에, 오일러 상수에 대해 먼저 알아둘 필요가 있습니다. 로그함수에 대한 얘기는 일단 뒤로 미루도록 합시다.
지수함수의 미분이 그 자신에 비례한다고 앞서 말했는데, 여기서 미분이 본래 함수와 정확히 동일한 지수함수를 생각해 볼 수 있습니다. 그러면 이 특별한 지수함수의 밑은 과연 무엇인가 하는 질문이 떠오르고, 그것이 바로 오일러 상수 (또는 자연 상수)인 것이죠. 오일러 상수는 알파벳 e로 표기하고, 이를 밑으로 하는 지수함수를 자연지수 (natural exponential)함수라고 부릅니다. 이제 자연지수 함수의 정확한 실체를 알아볼 때입니다.

참고로 자연지수 함수를 테일러 급수 전개했을때, 복소평면에서의 수렴반경은 무한대입니다. 다시 말해서, 함수의 인자로 들어가는 숫자가 무엇이든간에 테일러 급수 전개로 자연지수 함수를 구할 수 있다는 뜻이죠. 오일러 상수의 값은 자연지수 함수의 인자에 1을 대입하여 얻을 수 있고, 그 값을 소수점 11번째 자리에서 반올림하면 2.7182818285가 되겠습니다.
로그함수
앞에서 언급한 대로 로그함수는 지수함수의 역함수이며, 그 밑이 오일러 상수인 경우 자연로그 (natural logarithm)라고 불립니다. 정의역과 공역이 모두 실수인 경우에 한해서, 정의역은 양수이고 치역은 실수 전체의 집합이 됩니다.

자연로그 함수는 ln으로 표기하는 반면에, 다른 숫자를 밑으로 가지는 로그함수는 log에다가 아래 첨자로 밑을 표기합니다.
지수함수의 미분을 설명하는 과정에서 자연로그에 대해 언급을 했었는데요. 지수함수와 그 미분 간의 비례상수가 왜 자연로그와 관련이 있는지를 알아볼 차례가 왔습니다. 이는 앞서 얘기한 자연로그의 정의와 지수의 곱셈에 대한 규칙을 통해 이해할 수 있죠.

지수함수의 밑이 1보다 작은 경우 기울기가 음수가 된다는 것도 유추할 수 있습니다.
오일러 공식과 쌍곡 삼각함수
자연지수 함수는 삼각함수와도 밀접한 관련이 있습니다. 삼각함수가 낮설게 느껴지거나 삼각함수의 특징들을 더 자세히 알고 싶으신 분들은, 시작하기에 앞서서 다음 포스팅을 읽어보시면 큰 도움이 되리라 생각합니다.
수학 상식 : 원주율과 삼각함수
여기서는 기하학에 관련된 중요한 상수인 원주율과, 과학 및 공학 분야에서 가장 흔하게 접할 수 있는 주기함수인 삼각함수에 대해 얘기해볼까 합니다. 원주율과 호도법 먼저 유클리드 공간에
swstar.tistory.com
자연지수 함수의 인자로 순허수 (허수단위 i에다가 실수를 곱한 복소수)를 주면, 절대값이 1이 되는 복소수를 얻을 수 있습니다. 이를 복소평면에서 살펴보면, 반지름이 1인 원에 해당되는데요. 이러한 특징을 이용해 자연지수 함수를 삼각함수랑 연관지을 수 있고, 그게 바로 오일러 공식이 되겠습니다.

오일러 공식은 지수함수를 삼각함수들의 조합으로 표현하고 있습니다만, 그 반대로 삼각함수를 지수함수들의 조합으로 나타내는 것도 가능하겠죠. 이러한 표현의 연장선상에서, 쌍곡 삼각함수라는 함수들을 정의할 수 있습니다.

삼각함수와 비슷하게 쌍곡코사인, 쌍곡사인 및 쌍곡탄젠트 함수들이 있으며, 이들은 각각 cosh, sinh, tanh 로 표기합니다.
이상으로 지수함수와 로그함수의 개념과 특징들에 대해 짚어보았는데요. 이들은 삼각함수와 더불어 파동 현상을 이해하는데 있어서 매우 중요한 수학적 도구입니다. 파동을 수학적으로 표현하고, 파장, 주기, 속도 등의 물리량을 도출해내는 과정에 대한 자세한 사항은 다음 포스팅에 소개되어 있습니다.
물리학 상식 : 파동의 이해
이번 포스팅에서는 파동과 이를 구성하는 주파수, 파장, 진폭 등의 기본 개념들을 자세하게 짚어보겠습니다. 파동은 자연계에서 매우 흔하게 발견되는 패턴인데요. 우리가 일상생활에서 가장
swstar.tistory.com
앞에서 지수 붕괴라는 단어를 언급한 적이 있는데, 이러한 양상을 보이는 자연현상으로는 방사성 붕괴가 있습니다. 불안정한 입자들이 붕괴하여 숫자가 줄어드는 상황을 기술하는데 있어서, 지수함수가 사용되죠. 더 자세한 사항이 궁금하시다면, 다음 포스팅이 큰 도움이 되리라 생각합니다.
물리학 상식 : 방사성 붕괴
여기서는 방사성 동위 원소들의 붕괴 (radioactive decay)가 어떻게 일어나는지에 대해 한번 짚어보겠습니다. 더 안정적인 입자들로 쪼개지는 경향을 가진 방사성 동위 원소들의 갯수가 시간에 따라
swstar.tistory.com
자연지수 함수는 정규 분포를 나타내는 확률밀도함수인 가우스 함수를 정의할 때에도 등장하는데요. 가우스 함수는 특정한 평균값과 유한한 크기의 편차를 가진 확률 분포를 나타내기 위한 목적으로 광범위하게 사용됩니다. 가우스 함수의 정의와 특징에 대한 더 자세한 내용은 다음 포스팅에 소개되어 있습니다.
수학 상식 : 정규 분포와 가우스 함수
이번 포스팅에서는 정규 분포 (normal distribution)의 개념과, 이를 수학적으로 나타내기 위한 가우스 함수 (Gaussian function)에 대해서 알아봅시다. 가우스 함수의 통계학적인 의미와 더불어, 누적분포
swstar.tistory.com
같이 알고 있으면 좋은 수학 지식
테일러 급수 전개
수학 상식 : 테일러 급수 전개
여기서는 함수의 특징을 이해하거나, 여러 수학 및 과학 문제들을 근사적으로 푸는 데 도움이 되는 테일러 급수 전개 (Tayloer series expansion)에 대해 알아봅시다. 주어진 함수를 무한한 차수의 다항
swstar.tistory.com