이번 포스팅에서는 파동과 이를 구성하는 주파수, 파장, 진폭 등의 기본 개념들을 자세하게 짚어보겠습니다. 매개체가 주기성을 가지고 변하는 패턴인 파동은 자연계에서 매우 흔하게 발견되는 현상인데요. 우리가 일상생활에서 가장 흔하게 접하는 파동으로는 소리 (음파)가 있습니다. 소리가 전달되는 경로 상에 있는 공기분자들이 주기성을 가지고 운동을 하면서, 공기의 밀도가 증가와 감소를 반복하게 됩니다. 이러한 밀도의 변화에 귀에 있는 고막이 반응을 하고 이 자극이 뇌에 전달되면, 우리가 소리를 인지하게 되죠.
파동의 또 다른 예시로는 빛의 전달이 있습니다. 이는 맥스웰 방정식으로부터 유도가 되는것이지만 간단히 말하자면, 전기장과 자기장의 크기와 방향이 주기성을 가지고 변하는 패턴이 바로 빛이라고 불리는 전자기파입니다. 전기장과 자기장에 의해 눈의 시신경이 자극을 받게 되면 우리가 빛을 보게 되는 것이죠. 다만 모든 종류의 전자기파를 사람이 볼 수 있는 것은 아닙니다. 사람의 시각으로 인지할 수 있는 파장의 범위가 존재하고 이를 가시광선이라고 부릅니다. 핸드폰을 비롯한 무선통신 기기들이 주고받는 전파 역시 전기장과 자기장의 파동이지만, 그 파장이 매우 길어서 육안으로는 볼 수 없는 것입니다.
이제 파동에 대해 좀 더 시각적, 수학적으로 알아보도록 합시다. 이를 위해서는 원주율과 삼각함수 등의 개념을 빼놓을 수 없는데요. 만약 이들이 낮설게 느껴지는 분들은 다음 포스팅을 먼저 읽어보면 큰 도움이 되리라 생각합니다.
수학 상식 : 원주율과 삼각함수
여기서는 기하학에 관련된 중요한 상수인 원주율과, 과학 및 공학 분야에서 가장 흔하게 접할 수 있는 주기함수인 삼각함수에 대해 얘기해볼까 합니다. 원주율과 호도법 먼저 유클리드 공간에
swstar.tistory.com
뿐만 아니라 지수함수를 이용하면, 오일러 공식을 통해서 파동 현상을 수학적으로 다루기가 더 편리해집니다. 자세한 사항은 다음 포스팅에 소개되어 있습니다.
수학 상식 : 지수함수와 로그함수
이번에는 자연과학 및 공학 분야에서 중요하게 다뤄지는 오일러 상수 (Euler number 혹은 자연 상수)와 지수함수 (exponential function)에 대해 알아봅시다. 크기나 숫자 등이 폭발적으로 증가하는 현상
swstar.tistory.com
파동의 형태가 시간에 따라 어떻게 변하는지를 정의하는 미분방정식인 파동방정식과, 적분변환인 푸리에 급수 및 변환을 통해서 유의미한 정보가 전달되는 최소 단위인 패킷에 대해서도 알아볼텐데요. 미분방정식과 적분변환 등의 개념이 생소하게 느껴지신다면, 시작하기에 앞서서 다음 포스팅을 읽어보는 것도 좋습니다.
수학 상식 : 미분과 적분 이해하기
이번 포스팅에서는 고등학교 수학의 종착역이자 고급 수학의 출발점이라고 할 수 있는 미분과 적분에 대해 알아보도록 합시다. 미분과 적분의 기본 개념뿐만 아니라, 미분방정식이나 적분변환
swstar.tistory.com
파동의 구성 요소
주기성을 가지고 전달되는 파동을 구성하는 필수요소로는 주기, 파장, 진폭 이렇게 3개를 떠올릴 수 있는데요. 파동의 주기성은 다음과 같이 정의할 수 있습니다.
- 현재 위치를 유지한 채로 주기 만큼의 시간이 흐르면, 파동은 동일한 값으로 돌아옵니다.
- 파장 만큼 떨어진 거리에 있는 곳에서는 현재 위치와 동일한 파동의 값을 가집니다.
이를 만족하는 주기함수는 실제로 무한한 경우의 수가 있지만, 가장 간단하게 생각해 볼 수 있는 것은 삼각함수 (코사인 및 사인 함수)가 있죠. 이를 그림으로 그려보면 대략 다음과 같습니다.

잔잔한 물에 돌을 던졌을 때 발생하는 물결파처럼, 파동의 최대점 (마루) 혹은 최소점 (골)이 이동하는 것을 볼 수 있을 것입니다. 그리고 그 속도는 파장을 주기로 나눈 것과 같다는 점도 확인이 가능하죠. 사실 물리적으로 엄밀히 말하자면 이는 착시현상으로, 파동을 전달하는 매개체들은 파동을 따라 이동하는게 아니라 정해진 위치 주변을 배회합니다. 예컨대 소리가 전달될 때는 공기 분자들이 정해진 위치 주변에서 왕복운동을 하며, 빛이 전달될 때는 정해진 위치 상의 전기장과 자기장이 주기적으로 변하게 됩니다.
위에서는 1차원 공간을 예시로 들었습니다만, 이를 3차원으로 확대하게 되면 평면 상에서 파동이 최대점이나 최소점을 가지게 됩니다. 이러한 평면들이 파장 만큼의 거리를 두고 서로 떨어져 있는 방식인지라, 흔히 평면파 (plane wave)라고 부릅니다.
추가적으로 주파수 (frequency), 각진동수 (angular frequency) 및 파동수 또는 파수 (wave number) 등의 개념에 대해 친숙해지면 좋습니다. 주파수는 단위 시간동안 몇 번의 주기를 거치는지를 나타낸 물리량으로서, 주기가 1초인 파동이라면 해당 주파수는 1 Hz (헤르츠)입니다. 주기가 10초인 파동의 주파수는 0.1 Hz 가 되는 방식으로, 서로 반비례 관계에 있죠. 각진동수는 원주율의 두 배에 주파수를 곱한 양이고, 파수는 원주율의 두 배에서 파장을 나눈 것입니다.

각진동수를 그리스 문자 오메가 (omega)로, 파수를 알파벳 k로 표기했는데요. 꼭 이렇게 써야 한다는 법칙 같은 건 사실 없습니다만, 다른 사람들이 흔히 사용하는 업계 표준 같은걸로 받아들이면 무난합니다. 주파수의 경우, 알파벳 f 또는 그리스 문자 뉴 (nu)를 많이들 사용하십니다.
위에서는 진폭에 삼각함수를 곱해서 파동을 정의하고, 주파수와 파장 등이 삼각함수의 인자에 들어가는 추상적인 개념을 이야기 했었는데요. 이게 실제로 어떤 물리량에 대응되는지는 파동의 종류에 따라 달라질 것입니다. 소리나 음파의 경우라면 매질이 되는 공기나 액체 분자의 변위, 즉 평형 상태로부터 얼마나 떨어져 있는지가 되겠죠. 반면에 빛의 경우 전기장과 자기장의 세기가 되는 방식입니다.
파동 방정식
파동 방정식이란 파동의 형태가 시간에 따라 어떻게 변하는지를 정의하는 편미분 방정식입니다. 파동의 시간 변화율을 나타내기 위해 시간에 대한 편미분이 들어가고, 일반적으로 공간에 대한 편미분 역시 들어갑니다.
실제로 파동 방정식은 특정한 형태를 가진 게 아니라, 파동 현상을 기술하기 위한 방정식들을 포괄하는 개념인데요. 빛의 형태로 전파되는 전기장과 자기장을 기술하는 방정식도 파동 방정식이고, 드 브로이 물질파를 기술하기 위한 방정식 역시 파동 방정식입니다. 다시 말해서 파동 방정식의 구체적인 형태는 파동을 전달하는 매개체의 특징에 따라 결정된다고 볼 수 있겠습니다.
파동 방정식의 가장 간단한 예시로서, 파장에 무관하게 일정한 속도로 전파되는 파동을 기술하는 방정식을 생각해 볼 수 있습니다. 삼각함수의 2차 미분이 본래 함수에다가 음의 상수를 곱한 것과 같다는 점에 주목해서, 편미분 방정식을 세워 볼 수 있습니다.

일정한 속력을 가진 파동을 위한 방정식은 시간과 공간에 대한 2차 편미분을 가지고 있으며, 이를 고차원 공간으로 확장할 수 있습니다. 고차원 공간에서 정의되는 파동의 경우, 파수 벡터 (wave vector)라는 것을 가지게 되는데요. 이는 앞에서 정의했던 파수의 연장선상에 있는 개념입니다. 그리고 각진동수는 파수 벡터의 크기에다가 속력을 곱한것과 같다는 것도 알 수 있습니다.
위상 속도 vs 군 속도
앞에서 파동의 속력으로서 파장을 주기로 나눈 값에 대해 언급 했었습니다. 이는 파동의 위상 속도 (phase velocity)라고 불리는 개념으로서, 단일한 파장과 주파수를 가지는 삼각함수 파동에 대해 적용할 수 있습니다. 파동이 전달되는 속도를 정의하는 또 다른 개념으로서 군 속도 (group velocity)라는 것이 있는데요. 이는 유의미한 정보를 전달하는 최소 단위라고 할 수 있는 패킷 (wave packet)이 전달되는 속력이라 할 수 있습니다.

패킷 이라는 것은 서로 다른 여러 파장과 주파수를 가진 파동들의 중첩으로 이루어져 있습니다. 그렇기 때문에 패킷이 전달되는 속도는 일반적으로 위상 속도와 다르죠. 진공에서 빛은 파장에 무관하게 동일한 속도로 전파되기 때문에 군 속도와 위상속도가 동일하지만, 이는 매우 특수한 경우입니다. 일반적인 경우에 패킷이 얼마나 빨리 전달되는지 알기 위해서는 주기와 파장 사이의 관계인 분산 관계 (dispersion relation)에 대한 정보가 필요한데요. 보통 각진동수를 파수에 대한 함수로 나타냅니다.
수학적으로 군 속도는 각진동수의 파수에 대한 미분으로 주어집니다. 진공에서의 빛처럼 파장이 주기에 선형비례하는 경우, 각진동수는 파수에 선형비례하고 군 속도는 일정한 값이 도출되죠. 반면에 파장과 주기가 비선형 관계에 있는 예시로는 비상대론적인 양자역학의 물질파가 있습니다. 이 경우는 각진동수가 파수의 제곱에 비례하고, 따라서 군 속도는 파수에 비례한다는 특징을 가지고 있습니다.
파동-입자 이중성에 따라 입자들이 가지는 파동인 물질파에 대한 내용이 더 궁금하시다면, 다음 포스팅을 읽어보면 좋습니다.
물리학 상식 : 파동-입자 이중성
이번 포스팅에서는 양자역학에서 언급되는 물질과 파동의 이중성 (wave-particle duality)에 대해 이중 슬릿 실험과 함께 짚어봅시다. 입자의 파동인 물질파를 기술하기 위한 파동방정식과 불확정성
swstar.tistory.com
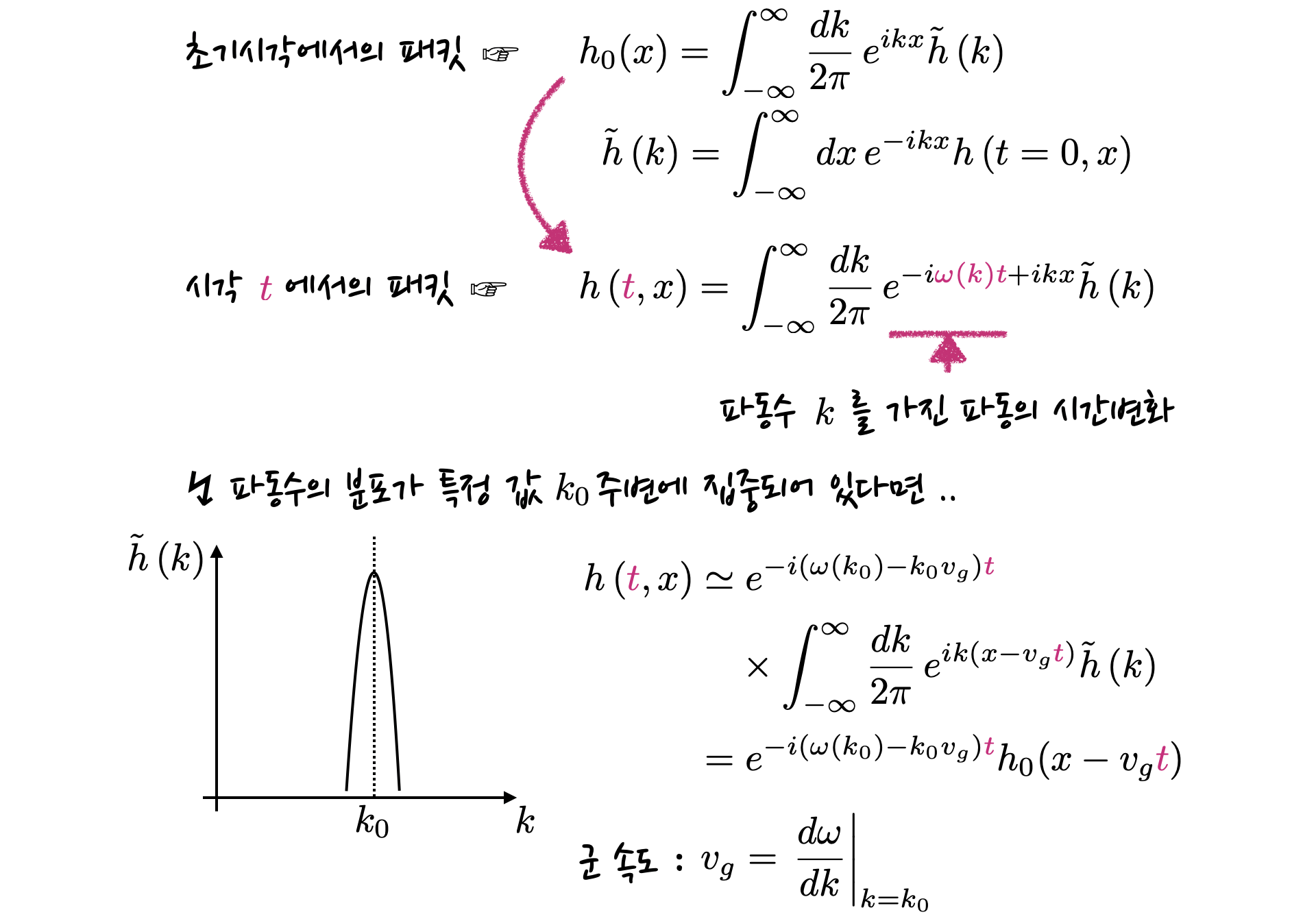
초기 시각에서의 패킷의 형태를 알면, 분산 관계와 결부지어 패킷이 시간에 따라 어떻게 변하는지를 알 수 있습니다. 이를 위해 필요한 푸리에 급수 및 변환에 대해 좀 더 자세히 짚어봅시다.
푸리에 급수 및 변환
파동에 대한 정보를 수학적으로 다루기 위한 방법으로는 푸리에 급수 전개 및 푸리에 변환이 있습니다. 푸리에 변환의 기본 취지를 간단히 말하자면, 일정한 패턴이 반복되는 주기함수는 삼각함수들의 합으로 나타낼 수 있다는 것인데요. 여기서 주기함수라고 한 것은 시간으로서의 주기를 갖는 것 만을 의미하지는 않습니다. 공간에 대한 함수 역시 파장을 가지고 있으면 주기함수가 되죠. 푸리에 급수 및 변환은 다음과 같이 나타낼 수 있습니다.

수학적인 의미의 주기를 알파벳 L로 표기하였는데, 이는 물리적인 의미의 주기나 파장 등에 국한되지 않는 포괄적인 개념입니다. 유한한 주기를 가지는 함수는 삼각함수들의 합으로 나타낼 수 있는데, 이 때 삼각함수에 들어가는 각진동수 혹은 파수들이 불연속적인 값을 가진다는 특징이 있습니다.
주기가 무한히 높은 경우 급수가 아닌 적분 변환이 되는데, 이 때는 변환 대상이 되는 함수가 반복되는 패턴을 가질 필요가 없습니다. 함수가 정의된 전체 공간 또는 정의역이 그냥 하나의 주기가 되는 셈이기 때문에, 그 밖에서 일어나는 일들에 대해서는 신경 꺼도 되는 거죠.
앞에서 푸리에 변환을 통해 패킷이 시간에 따라 어떻게 전달되는지를 알 수 있다고 얘기했었는데요. 이를 위해 가장 먼저 해야 할 일은 패킷의 초기 형태를 보고 파수에 따라 그 기여분이 어떻게 달라지는지를 파악하는 것입니다. 그리고 각 파수가 가진 기여분이 시간에 따라 어떻게 달라지는지는 각가속도에 따라 결정되는데, 여기서 분산관계가 들어가게 됩니다.

패킷을 이루는 파수들이 특정한 값 주변에 몰려있는 경우에, 패킷이 전달되는 군 속도가 각가속도를 파수에 대한 미분으로 주어진다는 걸 볼 수 있습니다.
푸리에 변환은 자연과학 및 공학 분야에서 다양하게 사용됩니다. 예를 들어서 소리나 전파 등의 시그널을 시간에 대한 함수로 받은 다음, 이를 이미지화 하면 패턴 분석에 유용하게 사용가능하죠. 이를 스펙트로그램이라고 하며 다음 포스팅에 더 자세히 소개되어 있습니다.
푸리에 변환과 (C++) 스펙트로그램
스펙트로그램의 개요 목소리나 음악 등의 소리를 수학적으로 기술하는 방법으로는, 크기를 나타내는 시그널을 시간에 대한 함수로 구하는 것이 있는데요. 이를 직접 들여다보는 것 보다 주파수
swstar.tistory.com
컴퓨터를 이용해 푸리에 변환을 하는 방법에 대해서도 알아두면 좋습니다. 푸리에 변환의 공식에 기반해서 직접 구현해도 되지만, 속도가 빠른 외부 라이브러리를 사용하는것도 한 가지 방법인데요. 예를 들면 FFTW C/C++ 라이브러리가 있습니다. 자세한 사항이 궁금하시다면 다음 포스팅을 참고해 주세요.
FFTW : C/C++ 고속 푸리에 변환 라이브러리
라이브러리 소개 현재 진행중인 연구에서 사용중인 C언어 푸리에 변환 라이브러리인 FFTW에 대해 간략히 포스팅해볼까 합니다. FFTW는 Fastest Fourier Transform in the West 의 약자인데요. 저 같은 토종 아
swstar.tistory.com
앞에서 파동의 예시로서 소리에 대해서 언급했었습니다. 매질이 팽창과 수축을 반복하면서 전파되기 때문에, 소리가 어떻게 전달되는지를 알기 위해서는 매질의 특징을 먼저 파악해야 합니다. 유체의 밀도와 압력간의 관계를 알아야 되는데요. 이를 상태 방정식이라고 부르며, 다음 포스팅에 더 자세한 내용이 소개되어 있습니다.
물리학 상식 : 압력, 밀도와 상태 방정식
이번 포스팅에서는 자유롭게 흐를 수 있는 유체 (fluid)의 특징을 결정짓는 물리량들인 압력 (pressure) 및 밀도 (density)의 개념과, 이들을 연결해주는 상태 방정식 (equation of state, 줄여서 EoS)에 대해
swstar.tistory.com
파동을 발생시키는 파원과 관찰자 사이에 상대적인 운동이 있는 경우, 관측된 파장이나 주파수는 원래의 값에서 달라지게 됩니다. 이를 두고 도플러 효과 (Doppler effec)라고 부르며, 다음 포스팅에 더 자세한 내용이 소개되어 있습니다.
물리학 상식 : 도플러 효과 (Doppler effect)
이번 포스팅에서는 운동 상태에 따라 관측되는 파동이 달라지는 도플러 효과에 대해서 알아봅시다. 파동의 파장과 주파수가 상대적인 속력에 따라 어떻게 달라지는를 다루고, 속력이 빛의 속도
swstar.tistory.com