여기서는 단단한 물체인 강체 (rigid body)의 회전으로 인해 발생하는 각운동량과 운동에너지를 계산하는 방법에 대해서 알아봅시다. 그 과정에서 관성 모멘트 (moment of inertia)라는 것을 정의하고, 물체의 각속도와 각운동량 및 운동에너지가 어떻게 연결되는지 살펴보겠습니다.
이번 포스팅에서 다루는 내용을 이해하기 위해서는 각운동량 (angular momentum)이라는 물리량에 대해 먼저 알아둘 필요가 있는데요. 물체의 회전이나 공전운동의 임팩트를 수치화하는 개념인 각운동량의 정의와 특징에 대해서는 다음 포스팅에 더 자세한 내용이 소개되어 있습니다.
물리학 상식 : 에너지, 운동량과 각운동량
여기서는 물체의 운동을 수치화하는데 있어서 중요한 물리량들인 에너지 (energy), 운동량 (momentum) 및 각운동량 (angular momentum)에 대해 알아보도록 합시다. 이들은 고등학교 물리 교과과정에서부터
swstar.tistory.com
강체의 각운동량 벡터가 향하는 방향은 회전축의 방향과 달라질 수 있습니다. 이를 고려하기 위해 관성 모멘트는 크기가 3인 정사각행렬로 주어지게 되죠. 따라서 행렬을 곱하는 방법에 대해서 알아두면 좋습니다. 행렬의 덧셈과 곱셈이 정의되기 위한 조건들과 연산의 구체적인 방법에 대한 더 자세한 내용은 다음 포스팅에 소개되어 있습니다.
수학 상식 : 행렬 (matrix)의 덧셈과 곱셈
이번 포스팅에서는 수학 및 과학 분야에서 널리 쓰이는 개념인 행렬의 연산에 대한 기본적인 내용을 알아봅시다. 행렬의 덧셈과 곱셈이 어떻게 정의되는지와 더불어, 교환자 (commutator) 및 반교
swstar.tistory.com
강체를 단단한 물체라고 앞에서 간단하게 언급했었는데, 물리적으로 이를 좀 더 엄밀하게 정의해볼 수 있습니다. 물체에 소속된 임의의 분자나 원자를 두 개 골랐을 때, 둘 사이의 거리가 항상 일정하게 유지되는 물체를 강체라고 생각해 볼 수 있습니다. 예를 들어서 고체 상태의 물질을 이루는 분자나 원자들은 일반적으로 격자 구조에 따라 배치되어 있고, 무작위로 2개를 골랐을 때 그 거리가 변하지 않는 것입니다. 자유롭게 흐를 수 있는 유체 (fluid)와는 차별화되는 부분이죠.
엄밀하게 따지자면 물체를 이루는 분자들이 미세하게 운동을 합니다만, 거시적인 관점에서 강체의 크기와 비교해보면 운동의 폭이 매우 작기 때문에 임의의 두 분자들 간의 거리는 거의 일정하게 유지된다고 봐도 무방합니다.
강체의 회전운동을 기술하는데 있어서 유용한 것이 각속도 벡터 (angular velocity vector)라는 것인데요. 각속도는 단위 시간당 회전한 각도로서 정의되고, 벡터의 방향은 회전축을 따라서 가는것이 특징입니다. 오른손의 엄지손가락이 회전축을 가리키는 상태에서 돌렸을때, 나머지 네 손가락이 가리키는 방향을 따라서 회전을 하는 오른손법칙에 따라 각속도벡터의 방향을 정의할 수 있는 것입니다.
여기서 궁극적인 질문은 각속도 벡터의 크기와 방향에 따라 강체의 각운동량과 운동에너지가 어떻게 달라지는가 하는 것입니다. 강체의 기준점을 하나 정했을 때, 3차원 공간에서 이를 통과하는 회전축은 무한히 많은 경우의 수가 존재하죠. 관성 모멘트를 통해 회전축의 방향에 따라 각운동량이 어떻게 달라지는지를 쉽게 다뤄볼 수 있습니다.
여러개의 입자로 이루어진 집합의 경우, 총 각운동량은 개별적인 입자가 가진 각운동량의 합으로 주어집니다. 각 입자의 각운동량을 계산하기 위해서는 회전축에 대한 공전속도를 각속도 벡터에 대한 함수로 나타낼 필요가 있습니다.

강체에 소속된 입자의 운동 속도는 각속도 벡터와 위치 벡터의 외적으로 주어지는데요. 여기서 위치벡터는 회전축 상에 있는 기준점에 대한 변위라고 할 수 있으며, 기준점이 무게중심과 같아야 할 필요는 없습니다.
강체의 총 각운동량은 모든 입자들이 보유한 각운동량의 합으로 주어지고, 이를 이용해서 각운동량을 관성 모멘트와 각속도 벡터의 행렬 곱으로 나타내는 것이 가능합니다. 연속적인 질량 분포를 가지는 강체의 경우 질량 밀도가 위치에 대한 함수로 주어지고, 정적분을 통해 관성 모멘트를 계산할 수 있게 됩니다.
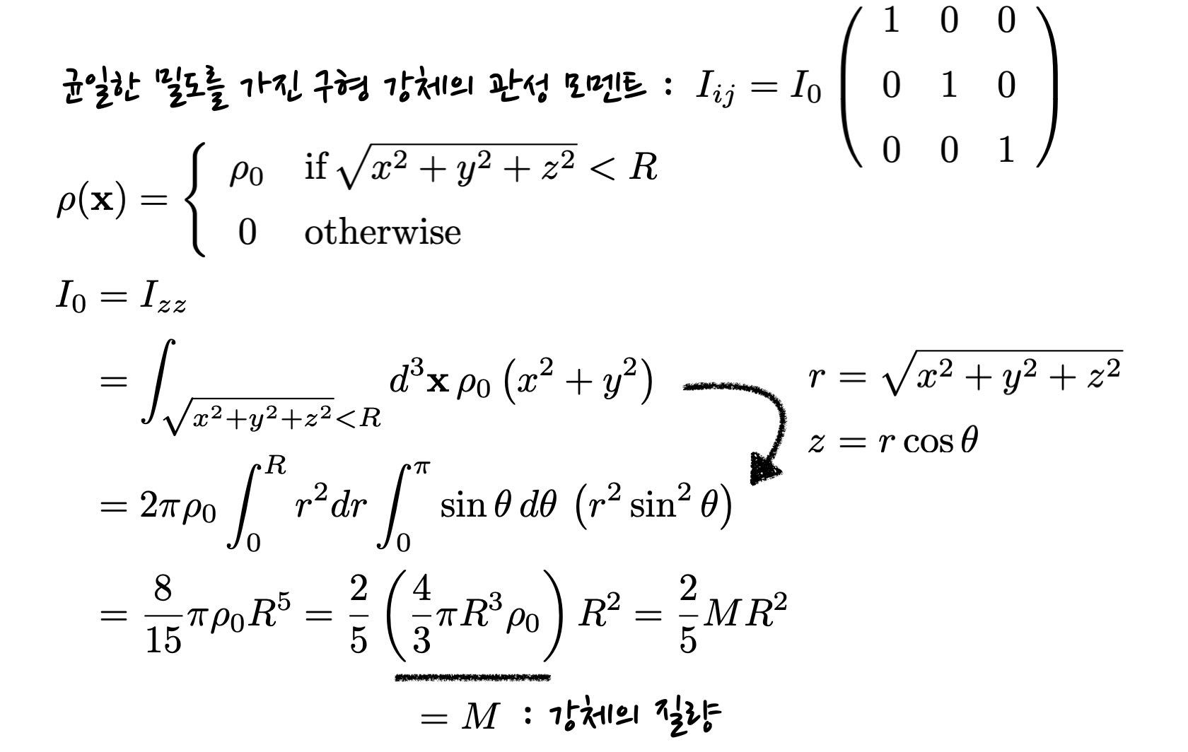
관성 모멘트는 강체의 질량 분포와 기준점의 위치에 따라 값이 달라지는 정사각행렬이므로, 각운동량 벡터의 방향이 회전축의 방향과 반드시 일치한다는 보장은 없습니다. 다만 대칭성을 가진 물체는 각운동량이 회전축의 방향을 따라가기도 합니다. 대표적으로 구형의 강체가 있고, 회전축이 구의 중심을 지나는 경우를 생각해볼 수 있죠. 예를 들자면 당구공이 굴러가는 경우가 그렇습니다.

강체가 구형인 경우, 구의 중심을 기준으로 하는 관성 모멘트는 상수와 단위행렬을 곱한 형태를 띠게 되는데요. 이말인즉슨 각운동량이 각속도 벡터에다가 상수를 곱한 형태로 주어진다는 것입니다. 따라서 각운동량 벡터의 방향은 각속도 벡터와 항상 같은 것입니다.
강체가 회전을 하면 각운동량 뿐만 아니라 운동에너지도 가지게 됩니다. 그리고 이러한 회전 운동에너지를 계산하는데 있어서도 관성 모멘트가 개입하게 되죠.

강체의 회전으로 인한 운동에너지는 관성 모멘트의 왼쪽과 오른쪽에 각속도 벡터를 하나씩 곱해서 얻을 수 있습니다. 물론 행렬의 곱셈규칙에 따라 관성 모멘트의 왼쪽과 오른쪽에는 각각 행 벡터와 열 벡터가 나와야 할 것입니다.
만약 강체가 구형인 경우, 회전 운동에너지는 각속도의 제곱에 관성 모멘트의 크기를 곱한 것의 절반이 됩니다. 직진 운동으로 인한 에너지는 속력의 제곱에 질량을 곱한것의 절반이 된다는 점으로부터 직진과 회전 운동 사이의 유사점도 볼 수 있는데요. 속력과 각속도를 대응시키고, 질량과 관성 모멘트를 대응시키면 운동에너지에 대한 공식이 비슷한 형태를 띠고 있는걸 확인할 수 있습니다.
일반적인 강체에 대해서도 각운동량 벡터의 방향이 회전축을 따르는 경우가 있습니다. 이러한 조건을 만족시키는 회전축의 방향과 그에 대응되는 관성 모멘트의 크기를 알아내기 위해서는 고유값 (eigenvalue) 문제를 풀어야 합니다. 관성 모멘트가 전치에 대한 대칭성을 가지고 있다는 사실로부터 서로 직각을 이루는 고유 벡터가 반드시 3개 존재한다는 것을 유추할 수 있죠. 다시 말해서 서로 직각을 이루면서도 각운동량 벡터와 방향이 동일한 회전축이 3개 존재한다는 것입니다.
정사각행렬의 고유값 문제와 행렬의 대칭성에 따른 특징들은 다음 포스팅에 더 자세하게 소개되어 있습니다.
수학 상식 : 행렬의 고유값과 고유벡터
이번 포스팅에서는 정사각행렬의 고유값 (eigenvalue)과 고유벡터 (eigenvector) 문제에 대해서 다뤄보겠습니다. 고유값과 고유벡터의 정의와 더불어, 행렬이 대칭성을 갖는 경우에 이들이 어떤 특징
swstar.tistory.com