이번 포스팅에서는 정사각행렬의 고유값 (eigenvalue)과 고유벡터 (eigenvector) 문제에 대해서 다뤄보겠습니다. 고유값과 고유벡터의 정의와 더불어, 행렬이 대칭성을 갖는 경우에 이들이 어떤 특징을 가지는지에 대해서도 살펴봅시다. 물리학에서 고유값 문제가 등장하는 예시에 대해서도 소개하겠습니다.
행렬의 고유값 문제는 행렬의 곱셈 연산을 포함하고 있습니다. 더 정확히 말하자면 정사각행렬과 하나의 열로 이루어진 행렬의 곱셈이 등장하죠. 행렬의 곱셈이 정의되기 위한 조건과, 이를 계산하는 방법에 대한 더 자세한 내용은 다음 포스팅에 소개되어 있습니다.
수학 상식 : 행렬 (matrix)의 덧셈과 곱셈
이번 포스팅에서는 수학 및 과학 분야에서 널리 쓰이는 개념인 행렬의 연산에 대한 기본적인 내용을 알아봅시다. 행렬의 덧셈과 곱셈이 어떻게 정의되는지와 더불어, 교환자 (commutator) 및 반교
swstar.tistory.com
앞에서 언급한 대로 정사각행렬에 하나의 열 (column)로 이루어진 행렬을 곱하는 상황을 생각해 봅시다. 물론 하나의 열 안에 포함된 성분의 갯수는 정사각행렬의 크기와 같아야 합니다. 이렇게 되면, 두 행렬을 곱한 것 역시 하나의 열로 이루어진 행렬이겠죠. 이 때 하나의 열로 이루어진 행렬을 벡터로 간주하면, 정사각행렬을 선형 변환 (linear transformation)으로 생각해볼 수 있습니다. 다시 말해서 벡터를 받아들여서 또 다른 벡터로 바꾸는 연산인 것입니다.
정사각행렬에 의한 변환이 벡터의 방향을 유지하는 경우를 생각해볼 수 있는데요. 물론 벡터의 크기 혹은 길이는 달라질 것입니다. 이러한 조건을 만족시키는 벡터를 고유벡터라고 부르고, 벡터의 길이가 어떻게 달라지느냐를 따지는 게 고유값이 되겠습니다.

정사각행렬과 고유벡터를 곱하면, 고유벡터에 고유값을 곱한 것과 동일하게 됩니다. 만약에 정사각행렬이 N개의 행과 열을 가지고 있다면, 고유벡터에 포함된 성분의 갯수가 N개일 뿐만 아니라 N개의 서로 다른 고유벡터들이 존재하게 됩니다. 서로 다른 고유벡터에 대응되는 고유값이 같은 경우도 있는데요. 이런 경우는 고유상태들이 축퇴 (degenerate)되었다고 표현합니다.
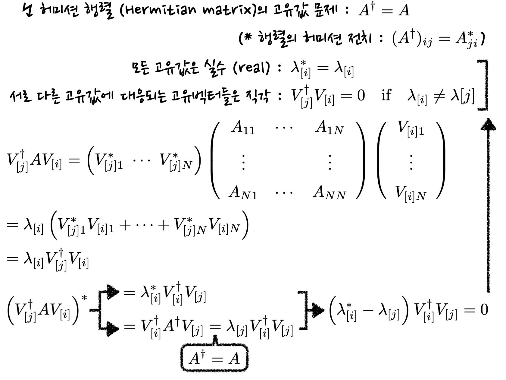
고유값과 고유벡터의 값들은 정사각행렬의 형태에 따라 달라집니다만, 눈여겨볼만한 케이스들이 있습니다. 가장 대표적으로 행렬이 켤레 전치 (conjugate transpose)에 대한 대칭을 가진 경우가 있죠. 다시 말해서 행렬의 행과 열을 뒤집은것에 복소수 켤레를 취한 것이 본래의 행렬과 같아지는 정사각행렬을 생각해볼 수 있습니다. 이를 두고 허미션 (Hermitian 또는 self-adjoint) 행렬이라고 부르고, 프랑스 수학자 샤를 에르미트 (Charles Hermite)에게서 그 이름을 따왔습니다.
고유값 문제와 관련해서 허미션 행렬은 몇 가지 중요한 특징을 가지는데요. 모든 고유값들이 실수로 주어지며, 서로 다른 고유값에 대응되는 고유 벡터들은 서로 직각 (orthogonal)이 됩니다.

하나의 열로 이루어진 행렬 혹은 벡터의 전치는 하나의 행으로 이루어진다는 점을 이용해서, 정사각행렬과 두 고유벡터들의 내적을 계산해볼수 있습니다. 그리고 허미션 행렬의 고유값과 고유벡터들이 어떤 특징을 가지고 있는지도 유추해 볼 수 있죠.
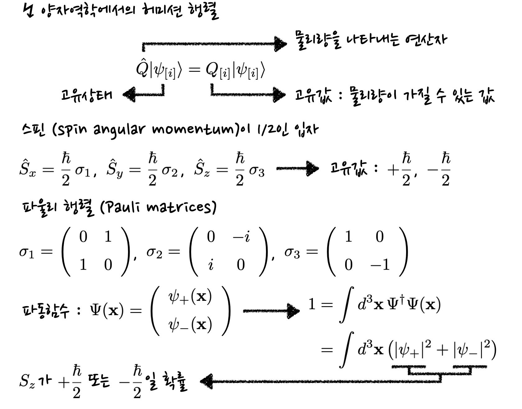
지금까지는 수학적인 관점에서 고유값 문제을 살펴봤지만, 고유값 문제는 물리학에서도 중요한 의미를 가집니다. 예를 들어서 양자역학에서 허미션 행렬이 등장하는 경우가 있죠. 양자 상태를 나타내는 파동함수를 벡터로 간주했을 때, 측정가능한 모든 물리량들은 허미션 행렬로 주어지고 물리량이 가질 수 있는 값들이 고유값으로 주어지게 됩니다.
가장 간단한 예시로서 스핀 각운동량이 1/2인 입자에 대해서 생각해볼 수 있습니다.

파동함수를 2개의 성분을 가진 벡터로 볼 수 있고, 스핀 각운동량에 대응되는 행렬들은 파울리 행렬 (Pauli matrix)에 1/2를 곱한 것으로 주어지게 됩니다. 그러면 스핀 각운동량의 고유값은 +1/2과 -1/2로 주어지게 되죠.
앞에서 양자역학에 대해서 언급했었습니다. 양자역학에 따르면 모든 입자는 파동의 성질을 동시에 가지고 있고, 파동함수의 절대값의 제곱이 확률밀도함수와 관련되어 있습니다. 그리고 파동함수는 슈뢰딩거의 파동방정식에 의해 결정되는데요. 이러한 파동-입자 이중성에 대해서는 다음 포스팅에 더 자세한 내용이 소개되어 있습니다.
물리학 상식 : 파동-입자 이중성
이번 포스팅에서는 양자역학에서 언급되는 물질과 파동의 이중성 (wave-particle duality)에 대해 이중 슬릿 실험과 함께 짚어봅시다. 입자의 파동인 물질파를 기술하기 위한 파동방정식과 불확정성
swstar.tistory.com
스핀은 입자가 회전이나 공전을 하지 않아도 내재적으로 가지고 있는 각운동량이라고 할 수 있습니다. 회전이나 공전으로 인해 발생하는 궤도 각운동량 (orbital angular momentum)과는 다르지만, 각운동량이라는 점은 동일하기 때문에 서로 덧셈과 뺄셈이 가능하죠. 궤도 각운동량이 정의되는 방식에 대해서는 다음 포스팅에 더 자세하게 소개되어 있습니다.
물리학 상식 : 에너지, 운동량과 각운동량
여기서는 물체의 운동을 수치화하는데 있어서 중요한 물리량들인 에너지 (energy), 운동량 (momentum) 및 각운동량 (angular momentum)에 대해 알아보도록 합시다. 이들은 고등학교 물리 교과과정에서부터
swstar.tistory.com
단단한 물체인 강체 (rigid body)의 회전으로 인한 각운동량과 에너지를 다루는 데 있어서도 고유값 문제가 등장하는데요. 좀 더 구체적으로 말하자면 각운동량 벡터와 그 방향이 동일한 회전축이 어떤 것들이 있는지를 알아내기 위해서는 관성 모멘트의 고유값과 고유 벡터들을 구해야 합니다. 회전하는 강체의 각운동량과 에너지를 구하는데 있어서 관성 모멘트라는 물리량이 어떻게 개입하는지에 대한 더 자세한 내용은 다음 포스팅에 소개되어 있습니다.
물리학 상식 : 강체의 회전과 관성 모멘트
여기서는 단단한 물체인 강체 (rigid body)의 회전으로 인해 발생하는 각운동량과 운동에너지를 계산하는 방법에 대해서 알아봅시다. 그 과정에서 관성 모멘트 (moment of inertia)라는 것을 정의하고,
swstar.tistory.com