여기서는 자연현상을 기술하기 위한 물리법칙 등을 나타내기 위한 방법 중의 하나인 라그랑지안 (Lagrangian) 및 액션 (action)과, 이로부터 운동방정식 (equation of motion)을 이끌어내기 위한 수학적 도구인 변분법 (calculus of variation)에 대해서 알아보도록 합시다.
이번 포스팅에서 다루는 내용을 이해하기 위해서는 먼저 정적분과 미분방정식에 대해 알고 있어야 합니다. 이들의 정의와 부정적분 및 미분과의 관계에 대해 더 자세한 내용이 궁금하시다면, 다음 포스팅이 큰 도움이 되리라 생각합니다.
수학 상식 : 미분과 적분 이해하기
이번 포스팅에서는 고등학교 수학의 종착역이자 고급 수학의 출발점이라고 할 수 있는 미분과 적분에 대해 알아보도록 합시다. 미분과 적분의 기본 개념뿐만 아니라, 미분방정식이나 적분변환
swstar.tistory.com
범함수 : 함수의 함수
본론으로 들어가기 전에 범함수 (functional)의 개념과 범함수의 미분 (functional derivative)에 대해서 짚고 넘어갈 필요가 있습니다. 범함수에 대해 간단히 정의를 내리자면, 함수를 받아서 숫자를 내놓는 연산이라고 할 수 있는데요. 매개변수 혹은 인자로 들어가는 함수의 형태에 따라서 결과로 나오는 숫자의 값이 달라진다는 특징을 가지고 있습니다. 숫자 대신 함수가 매개변수로 들어가기 때문에, 일반적인 소괄호 대신에 대괄호 안에 함수의 이름을 넣어서 범함수를 표기합니다.

범함수의 대표적인 예시로 정적분을 생각해 볼 수 있습니다. 정적분은 적분 구간에서 함수의 그래프와 x축 사이의 넓이라는 기하학적인 의미가 있죠. 그렇기 때문에 적분의 대상이 되는 함수의 형태에 따라 그 값이 달라지는 범함수의 일종이라고 할 수 있습니다.
그 다음으로 알아두면 좋은 것은 범함수의 미분으로서, 기본 취지는 일반적인 함수의 미분과 비슷합니다. 차이점이 있다면, 함수의 형태를 살짝 바꿔서 범함수의 값이 어떻게 달라지는지 그 변화율을 보는 것입니다. 인자로 들어가는 함수를 변형할 때는 정의역의 모든 점에서 그 변화를 정의해야 하기 때문에, 무한한 경우의 수가 있습니다. 그렇기 때문에 범함수 자체는 숫자임에도 불구하고, 그 미분은 함수로 주어지게 됩니다.
한 가지 예시로서 함수 f와 g의 곱을 정적분하는 경우를 생각해 볼 수 있습니다. 이는 함수 f를 인자로 받는 범함수가 되겠죠. 그리고 이 범함수의 함수 f에 대한 미분은 g가 되겠습니다.
변분법
범함수와 그 미분에 대해 알아봤으니, 변분법과 오일러-라그랑주 (Euler-Lagrange) 방정식에 대해 살펴볼 때가 왔습니다. 우리가 정보를 알아내고하 하는 어떤 함수 y가 있고, 이 함수가 시간이나 공간에 대한 어떤 특정한 미분방정식을 만족시키는 경우를 상상해 볼 수 있습니다.
여기서 떠오르는 질문은 그 미분방정식을 만족하는 함수 y를 매개변수로 넘겨줬을 때 극대값 혹은 극소값을 가지게 되는 범함수는 무엇인가 하는 것인데요. 범함수가 정적분의 형태를 띠고 있을 경우, 앞에서 언급한 범함수의 미분을 계산할 수 있겠죠. 이 미분이 0이 되는 함수가 바로 우리가 찾아해메던 함수가 되겠습니다. 이는 일반적인 함수가 극대값이나 극소값을 가지는 위치를 구할 때, 그 미분이 0이 되는 지점을 찾는 것과 동일한 원리입니다.
범함수의 미분은 일반적으로 함수로 주어진다고 앞에서 이야기했는데요. 그렇기 때문에 범함수의 미분이 0이 된다는 조건을 걸게 되면, 이는 미분방정식의 형태를 띠게 되고 그것이 바로 오일러-라그랑주 방정식입니다.

우리가 관심있는 함수 y 및 그 시간 미분에 따라 결정되는 또 다른 함수 L을 상정하고, 범함수 S를 L의 정적분으로 정의할 수 있습니다. 그러면 y의 형태가 미세하게 바뀌었을 때 범함수 S가 극대 혹은 극소값을 갖는 경우로부터 오일러-라그랑주 방정식을 유도할 수 있겠습니다.
여기서 한 가지 짚고 넘어갈 점이 있는데, 범함수 S에 함수 y의 미분이 들어가는 경우에 대한 것입니다. 오일러-라그랑주 방정식은 정적분의 인자로 들어가는 함수 L의 미분으로부터 얻어지는데요. L이 함수 y와 그 시간 미분에 대한 다변수함수인 척 하면서 편미분을 진행해야 한다는 점에 주의할 필요가 있습니다. 실제로는 함수 y와 그 시간 미분이 당연히 연관이 있습니다만, 오일러-라그랑주 방정식을 얻는 과정에서는 생각을 좀 달리해야 합니다.
라그랑지안 역학
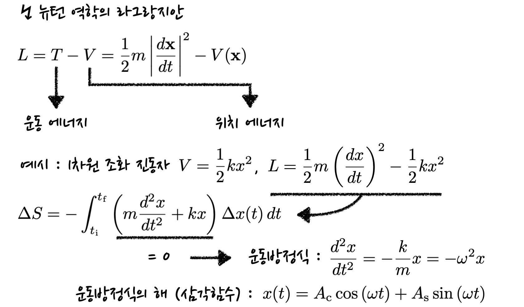
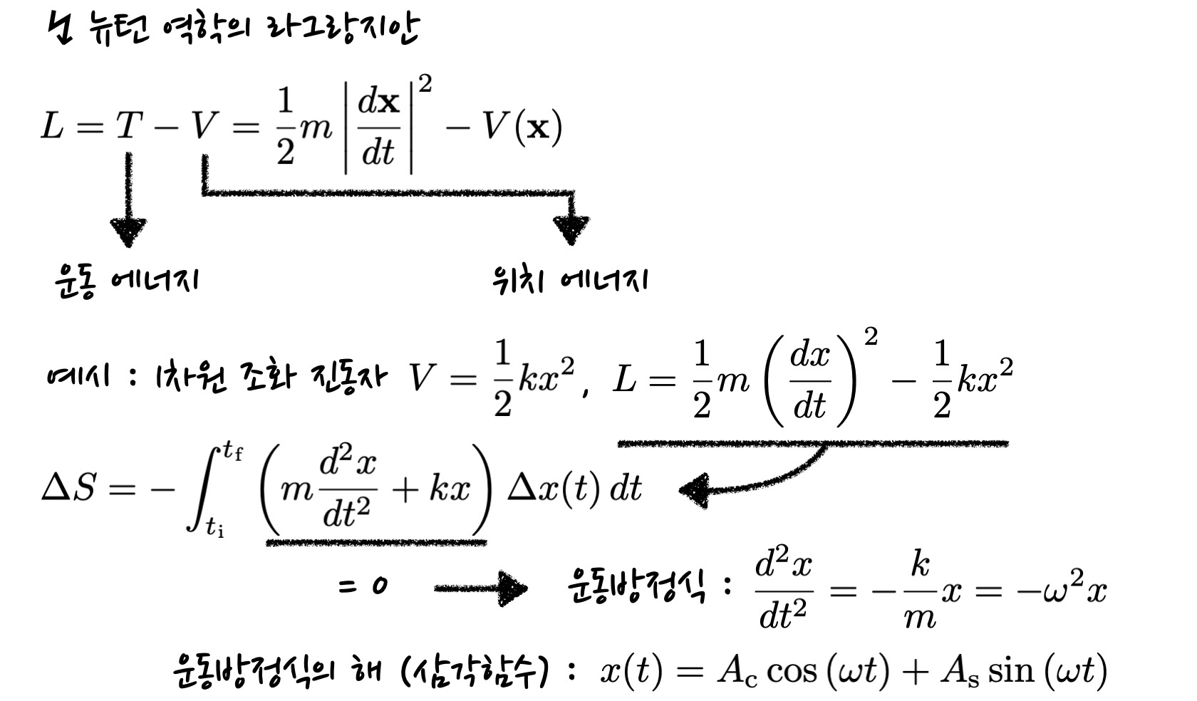
라그랑지안 역학은 물리법칙을 수학적으로 정의하기 위한 방법 중의 하나라고 할 수 있습니다. 동역학적 자유도 (dynamical degrees of freedom)의 함수로 주어지는 라그랑지안을 시간에 대해 적분하면, 작용 혹은 액션 (action)이라는 범함수가 주어지는데요. 우리가 관찰하는 자연 현상들은 이 액션이 극대 혹은 극소가 되는 궤적을 따르게 된다는 것이 라그랑지안 역학의 요점이라고 할 수 있습니다. 범함수로서의 액션이 극대 혹은 극소값을 갖는 궤적은 앞서 언급한 오일러-라그랑주 방정식의 해로 주어지는데, 그게 바로 운동방정식 (equation of motion)이 되겠습니다.
동역학적 자유도는 간단히 말해서 우리가 알고 싶어하는 물리량이라고 볼 수 있습니다. 외부로부터 가해지는 힘에 의해서 위치가 변하는 물체가 있다면, 우리의 관심사는 물체의 위치를 시간에 대한 함수로 구하는 것이죠. 그러므로 동역학적 자유도는 물체의 위치가 되고, 운동방정식은 뉴턴의 운동법칙에 따라 주어지는 미분방정식이 됩니다. 물체에 가해지는 힘이 위치에너지에 따라 결정되는 경우, 라그랑지안은 운동에너지에서 위치에너지를 뺀 값으로 주어집니다.

조화 진동자의 경우 위치에너지 혹은 용수철의 탄성에너지가 평형상태로부터의 변위의 제곱에 비례한다는 특징이 있죠. 이를 라그랑지안에 적용하면, 변위를 시간에 대한 함수로 구할 수 있고 이게 삼각함수의 형태를 띠고 있다는 것도 알 수 있습니다.
앞에서 언급한 동역학적 자유도나 운동방정식 등은 흔히 생각하는 운동을 하는 물체에만 국한되는 개념이 아닙니다. 전하나 전류의 분포가 주어졌을 때는, 그로 인해 파생되는 전기장과 자기장의 형태가 시간에 대해 어떻게 변하는지가 주요 관심사가 될텐데요. 이 때의 동역학적 자유도는 전기장 및 자기장의 크기와 방향이고 운동방정식은 맥스웰 방정식인 것입니다. 물론 그에 대응되는 라그랑지안 역시 존재합니다.
휘어진 공간에서 두 점 사이의 최단거리를 알아내는데 있어서도 라그랑지안 역학이 적용됩니다. 임의의 궤적을 따라서 좌표의 값이 시간에 따라 어떻게 변하는지를 함수로 알면, 총 소요시간 및 이동거리를 계산할 수 있겠죠. 이를 정적분으로 나타내면 라그랑지안을 정의할 수 있게 되고, 변분법에 따라서 최단 경로를 따르는 궤적을 구할 수 있게 됩니다. 그리고 이 때 등장하는 미분방정식을 지름길 방정식이라고 부릅니다.
구면 상의 위도와 경도에 대한 지름길 방정식을 통해, 항공기가 최단 경로를 따라 비행했을 때의 항로를 구할 수 있게 되는데요. 일반적으로 펜과 종이만 가지고 지름길 방정식의 해를 구하기는 어렵습니다만, 컴퓨터의 도움을 받으면 높은 정밀도의 근사적인 해를 구하는 것이 가능합니다. 더 자세한 내용은 다음 포스팅에 소개되어 있습니다.
C/C++ 반복-이완 계산법으로 알아보는 비행경로
이번 포스팅에서는 구면 상에 있는 두 지점 사이의 최단 경로를 위도와 경도에 대한 함수로 구한 다음, 출발지와 목적지 사이의 비행기 항로를 결정하는 방법에 대해 알아봅시다. 수치해석 방법
swstar.tistory.com